光泵浦太赫兹探测系统
光泵浦太赫兹探测 (OPTP) 技术是一种用于研究半导体超快载流子动力学的方法。THz 有光子能量低的特性,它对半导体中载流子的变化和分布将会十分敏感, 因此 THz 很适合被用做探测光来研究半导体中超快载流子的动力学过程。当激光激发半导体材料时,材料中被激发的电子和空穴会占据一些能态,进而太赫兹的透过率就会减少,随着载流子的复合,太赫兹的透过率也会慢慢升高。 这样便可以通过对 THz 瞬态透射谱的研究获得半导体中非平衡载流子的动力学过程。

经过优化后的太赫兹时域光谱光路结构,增强了系统稳定性,很好的消除光路中的色差,得到更好的太赫兹光斑聚焦效果。在保证系统高信噪比的同时,我们也保证系统的测量稳定性和可重复性,为后续的光泵浦-太赫兹探测奠定了坚实的基础。更多的需求可以根据客户需求选择升级,例如 800 纳米和 400纳米的光学泵浦。特别指出的是,如果飞秒激光器配备了光学参量放大器系统,我们可以集成其输出光作为光泵浦源,将系统光泵浦能力拓展至紫外-可见-近红外波段,由此显著增强系统的测试能力。与此同时我们也可以协助客户集成温控系统,集成电磁场,集成样品扫描成像等选项。

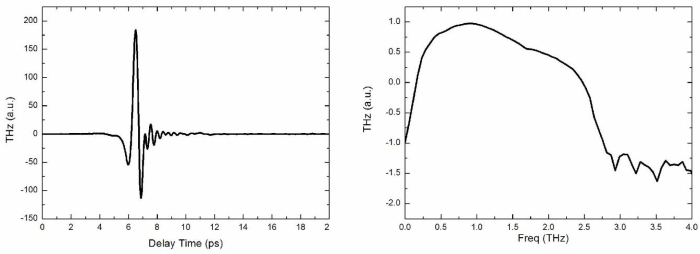
太赫兹时域光谱和频谱信号(发射端为:[110]晶向znte,厚度2mm;接收端为:[110]晶向znte,厚度2mm)

时间分辨太赫兹光谱
OPTP系统参数 | |
太赫兹发射端 | 光电导天线/ZnTe晶体/铌酸锂晶体 |
太赫兹接收端 | 光电导天线/ZnTe晶体/GaP晶体 |
光谱范围 | 0.1-3THz/0.1-6THz |
动态范围 | ≥60dB |
泵浦光波长 | 800nm/400nm(OPA可调谐波长可选) |
系统对激光器的要求 | |
波长 | 800nm |
脉冲宽度 | ≤150fs |
重复频率 | 1KHz/80MHz/100MHz |
平均功率 | ≥2W |